Is there a linear relation between muscle growth and testosterone?

DragonBits

Well-Known Member
I have had total T levels of 500, 1000 and 1500 at different times on TRT. My free T has ranged over a similar range.

I have never seen it discussed, but do you get more muscle growth with each level of higher total T assuming of that if you double total T you also double free T. Double is better, triple is even better, just looking at muscle growth.

Or is there some sort of threshold where you get the same sort muscle growth for a similar level of gym effort when your total T is under 1500 but at much higher Supra-physiological levels, say 3000 total T, only there do you get start to get a lot more muscle growth?
 
Good question. I don't know the answer. For what it's worth I read somewhere that Stallone kept his TT at 3000 don't know if it's true or internet BS. When I get my labs drawn, I say with a curled lip and in my native NY accent, "They drew first blood". Which usually gets a blank stare because the lab tech is too young to know what I'm referencing. My advice? Don't get old.
 
Yes, you start to make and keep more muscular mass but it comes with some side effects like bloat, high estrogen, high BP and high hematocrit levels. That is why bodybuilders tend to use other anabolics with more potency for this.
 
There's nothing liner about TRT for me, there is a tipping point somewhere between 400-500 where things go from mild to overdrive in every aspect, including muscle mass increases.
 
It's not linear. I believe that there is a point of total saturation of androgen receptors at high T doses (we do not know the max, but I speculate that over 2,000 mg per week we see no additional benefit)

What is the testosterone dose for muscle gain?

No doubt there has to be a max point where more does nothing for muscle gain. But that level is so high I am not going to be trying that.

But more basically, does a total T of 1200 ng/dl serum level get you a lot more muscle gain than 600 ng/dl?

I would have asked the ? in the other thread, but it was closed before I could ask.
 
No doubt there has to be a max point where more does nothing for muscle gain. But that level is so high I am not going to be trying that.

But more basically, does a total T of 1200 ng/dl serum level get you a lot more muscle gain than 600 ng/dl?

I would have asked the ? in the other thread, but it was closed before I could ask.

It will cause more gains and more side effects too, so yes you will grow more muscles.
 
No doubt there has to be a max point where more does nothing for muscle gain. But that level is so high I am not going to be trying that.

But more basically, does a total T of 1200 ng/dl serum level get you a lot more muscle gain than 600 ng/dl?

I would have asked the ? in the other thread, but it was closed before I could ask.


Highly doubtful!

Sure at a TT 1200 ng/dL you would have a higher FT than with a TT 600 ng/dL.....but even than one needs to understand that on your average trt doses 100-150 mg/week.....muscle gains are going to be minimal as in many cases theses type of trt doses would result in T levels that are in the high normal (physiological range) or slightly above.

Having healthy TT/FT resulting from trt will definitely have an impact on ones body composition changes (minor muscle gains/ enhanced fat loss) if diet/training are in check.....but even than gains in muscle/strength will be minor compared to when one uses steroid doses of T in the range of 300-600 mg/week which would result in very high supra-physiological levels.

Even than gains in muscle/strength would be greater when T doses are on the higher end 500-600 mg/week.

Anything above 600 mg/week would most likely result in less drastic gains as eventually negative effects will outweigh the positive effects.

1000 mg/week would seem to be a cut-off point as in many cases the only men using higher doses 1000-2000 mg/week would be amateur/professional bodybuilders and as we know they are already carrying a significant amount of muscle tissue compared to the average man.

Also understand that although when one uses testosterone in high doses that even though muscle/strength gains are accelerated along with increased recovery as the body is in an anabolic state.....the body can still only build pure muscle tissue (actin/myosin) SO FAST even when in a chemically enhanced state!

Let's top it all off with the fact that regardless of whether one is on trt and achieves a healthy TT/FT level or uses/abuses testosterone in high doses (steroids) for muscle/strength enhancement even when following the proper diet/training protocol.....drum roll.....ones GENETICS will always have the final say.
 
No doubt there has to be a max point where more does nothing for muscle gain. But that level is so high I am not going to be trying that.

But more basically, does a total T of 1200 ng/dl serum level get you a lot more muscle gain than 600 ng/dl?

I would have asked the ? in the other thread, but it was closed before I could ask.

Keep in mind too.....that when I stated highly doubtful it is because of the way you worded your question.....key words "a lot more muscle gain".

No one is gaining a lot of pure muscle tissue (actin/myosin) on average trt doses if such was the cases no one would ever use/abuse testosterone/AAS in high doses.

I will say that if you go from a TT 600--->1200 that there would be increased gains in muscle/strength as long one follows a proper diet/training protocol but the gains in muscle will not be significant!
 
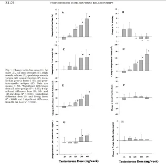
Responses of different doses of testosterone injections on body composition, strength, etc.

testosterone body composition muscle.webp
 
So everything looks encouraging there for high doses except sexual function? Kind of a big disappointment there no? And kinda strange considering well...raise your hand if at what is considered peak production of T for a male (late teens early 20's) all you needed was for the wind to blow. But here we see it basically flat line up to even 600mg. a week?
 

Attachments

  • testosterone body composition muscle.webp
    testosterone body composition muscle.webp
    50.7 KB · Views: 362

ExcelMale Newsletter Signup

Online statistics

Members online
8
Guests online
299
Total visitors
307

Latest posts

Beyond Testosterone Podcast

Back
Top